Incrementality testing measures the true effectiveness of marketing activities by determining the additional impact or lift generated by these activities beyond what would have occurred without them. In simpler terms, it helps marketers understand whether their advertising efforts are actually contributing to sales or if they are simply attributing sales that would have happened anyway.
Many marketing channels can claim credit for conversions through attribution models. However, without incrementality testing, marketers risk overestimating the impact of their campaigns, leading to inefficient budget allocation and strategies.
Key Aspects of Incrementality Testing
True Value Measurement: Incrementality focuses on measuring the real value created by advertising spend, rather than just tracking clicks or conversions. This helps in identifying whether a campaign is genuinely driving additional sales. For example, incrementality can show the difference between attributed ROAS and incremental ROAS.
Detailed impact measurement: Incrementality testing can measure the incrementality for each variable or marketing activity. This allows marketers to understand the specific impact of different campaigns and strategies on overall performance.
Continuous Measurement: Unlike traditional methods that may require stopping campaigns to measure their effects, incrementality testing using INCRMNTAL can be conducted continuously, allowing marketers to monitor the impact of their advertising efforts without disrupting ongoing campaigns.
Understanding Cannibalization: One of the critical insights from incrementality testing is the ability to determine if paid advertising is cannibalizing organic sales. This means understanding whether the sales attributed to advertising would have occurred without it, thereby avoiding wasted ad spend.
Application Across Channels: Incrementality testing can be applied across various marketing channels, including digital, traditional media, and even offline activities, providing a comprehensive view of marketing effectiveness.
Incrementality Testing Methods
There are several methods for incrementality testing. Some methods require some effort from the marketer, while others do not require the marketer to do anything differently.
Randomized Control Group - Creating a split in the audience seeing ads, to differentiate the results of those who saw an ad and those who did not.
Blackouts / Geolift studies - Creating an advertising blackout by stopping all campaigns and comparing the results of sales with and without any advertising activities.
Partial Blackouts / Geolift studies - Creating a series of advertising blackouts by stopping specific regions, channels, and / or countries.
Surveys & Panels - Asking users directly how they were or were not impacted by the presence of advertising campaigns
Causal data science - Utilizing machine learning and AI to evaluate and measure the incremental value of the activities as they run.
INCRMNTAL measures the incrementality of any marketing activity or change by using causal data science.
Here is a comparison of these incrementality testing methods:
How Incrementality Testing works traditionally
To conduct an incrementality test, marketers typically divide their audience into two groups:
The test group which is exposed to the marketing campaign or activity.
And the control group is not exposed to the campaign, serving as a baseline for comparison.
By analyzing the differences in behavior between these groups, businesses can determine the incremental impact of their marketing efforts. This approach isolates the effect of the campaign from other external factors, providing a clearer picture of its effectiveness.
Measuring the Incremental Impact
Once a brand runs an incrementality test, the next step is to analyze the results using clear, mathematical formulas.
The two key metrics to focus on are incrementality and lift, which quantify how much impact a campaign had beyond organic conversions.
The Incrementality Calculation Formula
Incrementality measures the percentage of conversions that occurred only because of the marketing effort. It is calculated as:
Lift Calculation Formula
Lift is the percentage increase in conversions due to the campaign, relative to the control group. It is calculated as:
This percentage shows how many conversions happened only because of the campaign and would not have occurred otherwise.
For example, an e-commerce retailer wants to determine whether its paid search ads are truly driving additional sales or simply capturing customers who would have purchased anyway.
The retailer runs an incrementality test for 30 days:
Test Group (saw ads) → 5,000 conversions
Control Group (no ads) → 3,800 conversions
Step 1: Calculate Incrementality
This means that 24% of the conversions were directly driven by the paid search ads, while the remaining 76% would have happened even without the campaign.
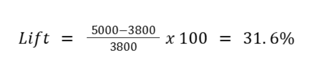
Step 2: Calculate Lift
This means the paid search campaign increased conversions by 31.6% compared to the control group.
Types of Incremental Effects
There are three possible outcomes in an incrementality test:
1. Positive Incremental Lift
The test group outperforms the control group.
The campaign successfully drives additional conversions.
Example: a paid social media campaign leads to a 20% higher purchase rate in the test group.
2. Neutral Effect
The test and control groups perform equally.
This indicates that the campaign is not generating additional conversions.
The campaign should be paused or adjusted (e.g., different creative, better audience targeting).
3. Negative Incremental Lift
The test group underperforms compared to the control group.
This suggests that the campaign may be harming brand perception or over-exposing users to ads.
Example: a remarketing campaign results in fewer purchases because users find the ads too aggressive.
The campaign should be immediately revised or stopped.
Why Is Incrementality Testing Important?
Traditional attribution models - whether last-click, first-click, or multi-touch — often fail to account for conversions that would have happened organically, leading to inflated performance metrics and misallocated budgets.
Incrementality testing provides clarity by measuring the true impact of marketing campaigns, helping brands:
Eliminate attribution bias – distinguish between conversions driven by ads and those that would have occurred regardless. Optimize budget allocation – redirect spend to high-performing campaigns and eliminate waste. Improve campaign efficiency – fine-tune targeting, creative, and messaging based on real impact (for example real ROI). Strengthen decision-making – use data, not assumptions, to drive efficient and strategic marketing mix.
Without a clear understanding of incrementality, brands risk investing in ineffective campaigns, overvaluing certain channels, and failing to scale what actually works.
What Channels Make Sense for Incrementality Testing?
Incrementality testing is most effective in channels where attribution is unclear or where multiple marketing efforts overlap.
Paid Social (Facebook, Instagram, TikTok, LinkedIn, etc.) Helps distinguish between retargeting and new customer acquisition, optimize ad frequency, and refine audience targeting.
Paid Search (Google Ads, Bing Ads, etc.) Identifies if branded search ads are capturing new demand or cannibalizing organic traffic and evaluates keyword bidding strategies.
Display & Programmatic Advertising Measures the incremental lift of awareness campaigns, assesses retargeting effectiveness, and prevents ad fatigue from overexposure.
Retargeting & Remarketing Tests if retargeting actually drives more conversions or simply reaches users who were already going to buy, adjusting time windows and frequency.
Affiliate & Influencer Marketing Determines the real impact of influencer partnerships, which affiliate networks drive true incremental sales, and whether promo codes attract new buyers.
Connected TV (CTV) & Video Ads Evaluates if video ads directly influence sales or mainly boost brand awareness, analyzing ad length, messaging, and cross-channel impact.
Email & SMS Marketing Tests the effectiveness of abandoned cart emails, promotional vs. transactional messages, and whether SMS campaigns genuinely increase purchases.
How INCRMNTAL measures incrementality testing
Brands using INCRMNTAL benefit from a seamless and continuous approach to measuring incrementality directly within our platform. Here’s how we make this process efficient and effective:
Seamless Integration: INCRMNTAL connects effortlessly with a wide range of relevant data sources, including various advertising platforms, analytics tools, and customer relationship management systems. This integration eliminates the need for complex setups or technical resources, allowing marketers to focus on analyzing their data rather than managing it.
Real-Time Measurement: Our platform provides real-time insights into the performance of marketing activities. This means brands can continuously monitor the impact of their campaigns as they run, enabling timely adjustments and optimizations based on current data rather than relying on outdated reports.
Automated Data Isolation: Unlike traditional methods that require marketers to manually create scenarios to isolate data, INCRMNTAL automates this process. Our tool automatically identifies and measures the incrementality for each marketing variable, ensuring that brands can accurately assess the effectiveness of their campaigns without additional effort.
Actionable Insights: INCRMNTAL not only measures incrementality but also translates the data into actionable insights. Marketers receive data-driven recommendations on how to optimize their strategies, including suggestions for budget allocation, channel performance, and audience targeting. This empowers brands to make informed decisions that drive better results.
Comprehensive Reporting: Our platform offers comprehensive reporting capabilities that allow brands to visualize their incrementality data easily. With intuitive dashboards and customizable reports, marketers can quickly understand the performance of their campaigns and share insights with stakeholders.
Cross-Channel Analysis: INCRMNTAL excels at measuring incrementality across multiple channels, providing a holistic view of marketing performance. INCRMNTAL can measure nearly any marketing channel, including TV ads or OOH. This cross-channel analysis helps brands identify which marketing efforts are truly driving incremental value and which may be overlapping or cannibalizing each other.
Holistic Measurement: INCRMNTAL goes beyond traditional metrics by measuring external factors that can influence marketing performance, such as weather conditions, seasonality, and other relevant events. This holistic approach ensures that brands understand the full context of their campaigns and can attribute changes in performance to the right variables.
By leveraging INCRMNTAL, brands can ensure that they are not only measuring the impact of their marketing efforts but also gaining a deeper understanding of how to optimize their strategies for maximum effectiveness. This continuous measurement approach allows for agile marketing practices, ultimately leading to improved ROI and business growth.
Ready to see the impact? Book a demo with us today!